老涛资讯网
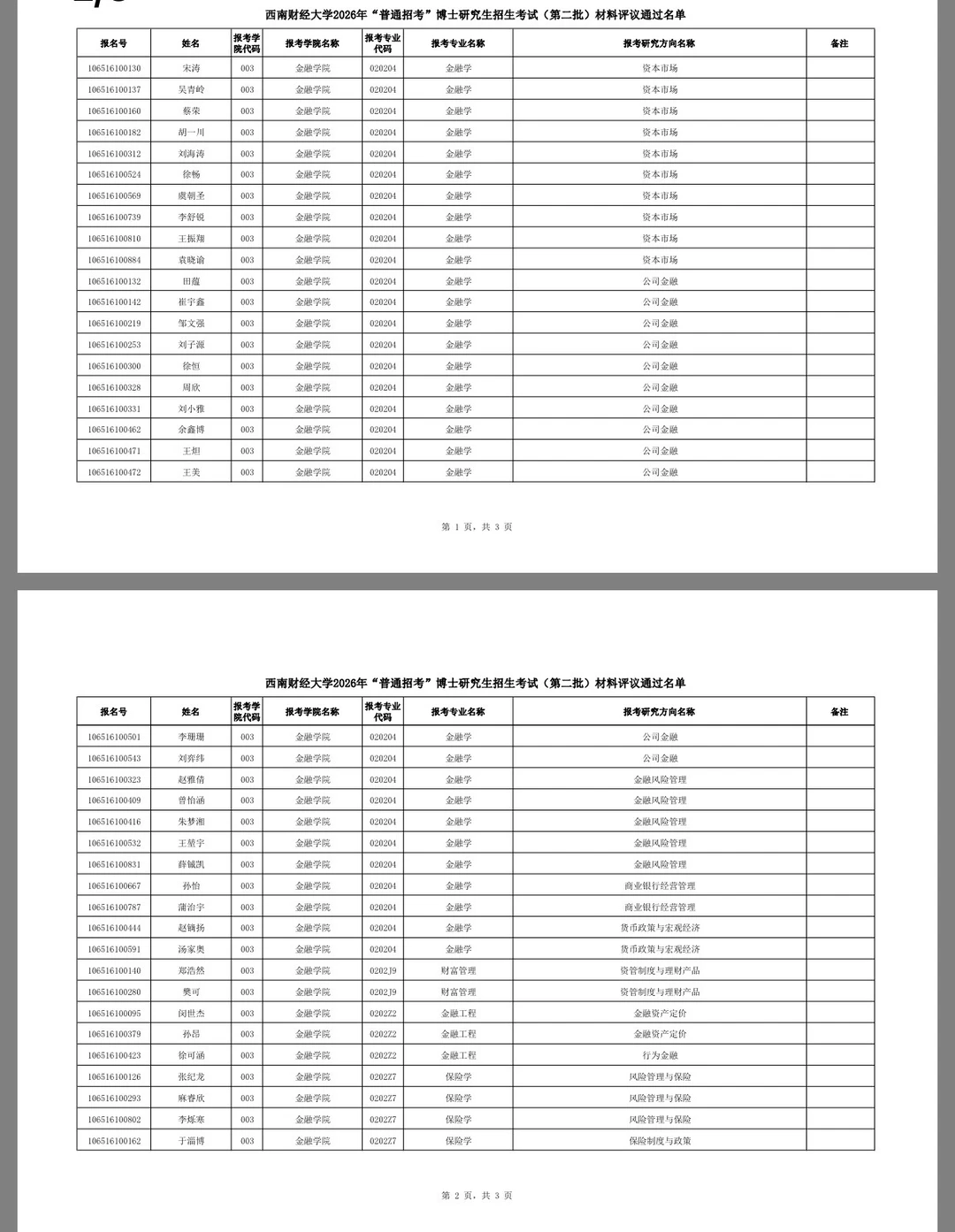
西南财经大学26博士复试名单公示
懂考博的小锦鲤
2026-03-14 18:53:12
博士申请考核制 工程类博士 考博 复试调剂 考研分数线 考研复试 考研初试
0
阅读:1
猜你喜欢
去年我的调剂之路!我调剂是在一志愿失败之后开始的。我一志愿擦边进复试,虽然复试
【5点赞】
宁波
北京
我吃西红柿
2026-03-12
26考研调剂注意事项,老卜简单说一下:一、只要过了国家线,就有机会调剂上岸。
上岸
考研
卜之丁
2026-03-02
我比以前聪明多了,你想录取我吗🥹🥹
吉林
一本李学长
2026-03-02
清华、北大公布2026年研招复试校线,“涨”声一片。刚才,清华大学、北京大学相
【4点赞】
清华大学
北大
北京大学
军哥升学那些事
2026-03-13
她叫伍继红,1998年毕业于中国人民大学。因当年取消分配工作,她找工作,笔试通过
【13评论】【4点赞】
中国人民大学
广东
公务员考试
一流大学建设高校
就业
阿皮历史库
2026-03-06
今年985高校人工智能学院复试线太惊人了,居然爆涨8分!这意味着什么?意味着考研
【1评论】
考研
大学
李成玉
2026-03-14
懂考博的小锦鲤
感谢大家的关注
作者最新文章
1
一个亿和博士学位选哪个?
2
一个博士生 接受怎样的训练算是完整的科
3
现在毕业的普通博士还能去高校吗
4
读了3年博士,现在把读博士的优点和缺点
5
土博毕业现在还能去高校吗
6
如何看待大量硕博扩招
7
中国的博士生们,别焦虑了
8
科研速胜论:慢工出烂活
9
招聘公示 | 中央民族大学2025年公开招聘(第
10
恭喜!985东南大学博士拟录取!
热门分类
推荐
热榜
军事
NBA
体育
社会
明星八卦
娱乐
财经
科技
汽车
历史
国际
游戏
动漫
公益
搞笑
商业
互联网
数码
国际足球
房产
家居
时尚
科学探索
职场
育儿
股票
教育
影视
情感
热点
中国军情
武器
中国南海
中国足球
亚洲杯
科比
综合体育
CBA
投资
大咖秀
外汇
创业
风口
SUV
豪车
概念车
优惠
新能源
美国
欧洲
朝日韩
俄罗斯
孕期
街拍
婚姻
正能量
教育
TOP
1
以前的女大学生和当代的女大学生
2
表妹当班主任后一年的变化表妹当班主任后一年的变化
3
网上的大学宿舍和真实的大学宿舍,真的有这么夸张吗
4
学校有这样的语文老师,应该没有孩子会逃课了吧?[呲牙笑]
5
为啥现在大学生都喜欢这样穿呀,有人清楚不?
6
我自始至终都知道,我老公包养了两个大学生[笑着哭]一个是女大学生研三每个月给
7
只有大学生才懂这个上铺的含金量
8
这怕是中国就业率最高的专业了吧!
9
陈都灵大学那会,真是校花啊,这素颜把好多人都比下去了
10
家庭存款的十个等级:10万压力山大,20万小打小闹,30万稍感轻松,5
教育
最新文章
1
家教!
2
昨天跟同事下乡,在出发前,我反复告诫我自己,不要多嘴,尤其是不要故意指出老师的一
3
“我的人生你赔不起。”2020年,山东冠县一名女子报名成人本科时却无法通过审核,
4
北京下死命令了!2027年底前,所有中小学必须一律取消1月14号,北京教育
5
“我睡过100多个女学生。”2022年,知名艺考培训机构影路站台的校长杜某哲,曾
6
“我睡过100多个女学生。”2022年,知名艺考培训机构影路站台的校长杜英哲,曾
7
高中老师的工作状况再不改善,真难招到人教高中了!
8
她叫伍继红,1998年毕业于中国人民大学。因当年取消分配工作,她找工作,笔试通过
9
我国各省综合实力排行榜出炉。
10
[点赞]2025年,“学费才1.8万,凭什么不让我读!”女孩高考考了512分,