老涛资讯网

懂考博的小锦鲤的文章

被导师放养的研究生最后都怎么样了?

被导师放养的研究生最后都怎么样了?

教育 2026-04-25 15:02

两部委发文:支持高校毕业生读技校

两部委发文:支持高校毕业生读技校

教育 2026-04-25 15:02

温州市事业单位引进硕博人才

温州市事业单位引进硕博人才

教育 2026-04-24 15:37

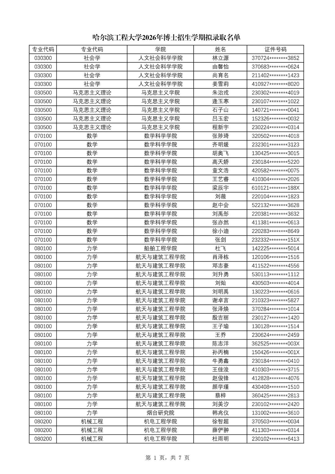
华东师范大学2026年博士拟录取名单

华东师范大学2026年博士拟录取名单

教育 2026-04-24 15:02

读博真正拉开差距的是“研究节奏”!

读博真正拉开差距的是“研究节奏”!

教育 2026-04-24 15:02

华东师范大学2026年春季批次博士研究生招生

华东师范大学2026年春季批次博士研究生招生

教育 2026-04-24 15:02

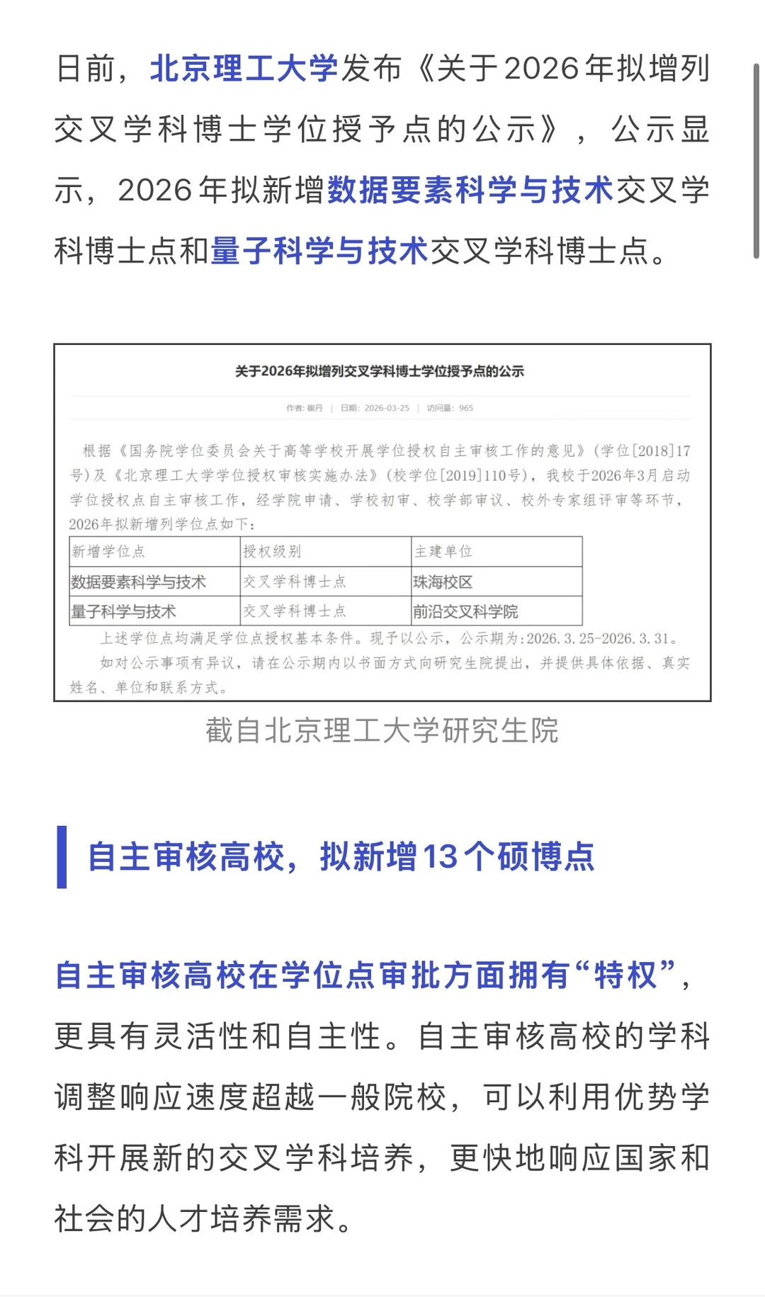
公示!210所高校,拟新增硕博点

公示!210所高校,拟新增硕博点

教育 2026-04-23 15:05

课题组衰败的 8大征兆

课题组衰败的 8大征兆

教育 2026-04-23 15:03

给在读博士的建议

给在读博士的建议

教育 2026-04-23 15:41

博士生 想发 SCI 三四区论文也不能“躺平”

博士生 想发 SCI 三四区论文也不能“躺平”

教育 2026-04-23 15:02

2026年985第二批博士研究生招生

2026年985第二批博士研究生招生

教育 2026-04-22 15:02

博士生怎样才算接受完整而全面的科研训练

博士生怎样才算接受完整而全面的科研训练

教育 2026-04-22 15:02

研究生开学前一定要知道的8件事

研究生开学前一定要知道的8件事

教育 2026-04-21 18:05

博士生过剩,高校装不下了

博士生过剩,高校装不下了

教育 2026-04-21 23:02

关于公示我校2026年博士研究生拟录取名单的

关于公示我校2026年博士研究生拟录取名单的

教育 2026-04-21 18:02

】博士阶段核心避坑总结 1.明确读博动机:如

】博士阶段核心避坑总结 1.明确读博动机:如

教育 2026-04-20 23:40

给博士配偶安排工作后,离婚了怎么办?高校回

给博士配偶安排工作后,离婚了怎么办?高校回

教育 2026-04-20 23:43

关于2026年第二批博士研究生招生报名工作的

关于2026年第二批博士研究生招生报名工作的

教育 2026-04-20 23:01

高产博士一致的科研习惯:永远在读文献 读博

高产博士一致的科研习惯:永远在读文献 读博

教育 2026-04-20 23:01

在读男博士能嫁吗?

在读男博士能嫁吗?

情感 2026-04-17 23:07
第一页 下一页
懂考博的小锦鲤

懂考博的小锦鲤

感谢大家的关注

热门分类

推荐 热榜 军事 NBA 体育 社会 明星八卦 娱乐 财经 科技 汽车 历史 国际 游戏 动漫 公益 搞笑 商业 互联网 数码 国际足球 房产 家居 时尚 科学探索 职场 育儿 股票 教育 影视 情感 热点 中国军情 武器 中国南海 中国足球 亚洲杯 科比 综合体育 CBA 投资 大咖秀 外汇 创业 风口 SUV 豪车 概念车 优惠 新能源 美国 欧洲 朝日韩 俄罗斯 孕期 街拍 婚姻 正能量

© CopyRight 2010-2026 老涛资讯网(laotaotie.com)

粤ICP备2023027345号 邮箱:181046773#qq.com

声明:部分文章摘自互联网,如有侵权,麻烦告知删除。