老涛资讯网
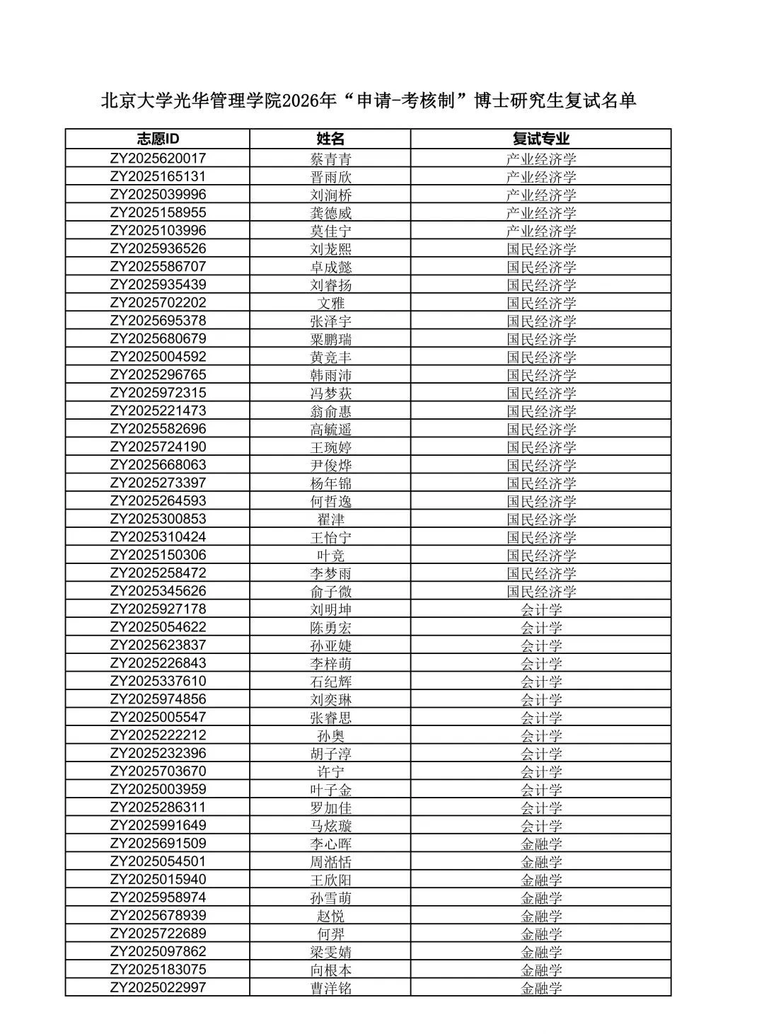
北京大学光华管理学院2026年“申请-考核制”
懂考博的小锦鲤
2026-03-05 23:46:31
北京大学 博士申请考核制 工程类博士 考博 MBA复试 在职MBA 保研
0
阅读:0
猜你喜欢
千问的技术大牛能修北大的两个专业,还有一个是语言类的硕士。真牛啊!听说他的工资
北大
Qwen3
GPT5
庚辰4131
2026-03-06
这是北大教授的见识和素质?
【1评论】
北大
大学
评点一哥
2026-03-06
在重点实验室方面没想到浙江大学竟然逆袭了上交大和北大,以21个重点实验室的数量位
【1评论】【3点赞】
浙江大学
大学
北大
中国科学技术大学
一流大学建设高校
豫见醉美的风景
2026-02-19
一看就专业!
【6评论】【11点赞】
期盼湾湾回家的男人
2026-02-19
开卷考试
摸鱼频道
2026-03-04
“北大哭了!”河南小伙,第一次高考669分考上北大医学部,结果第一节课都没上完就
【34评论】【111点赞】
北大
河南
北大医学部
清华大学
肖兹探秘说
2026-03-01
她叫伍继红,1998年毕业于中国人民大学。因当年取消分配工作,她找工作,笔试通过
中国人民大学
广东
就业
阿皮历史库
2026-03-06
中国有13所大学进入2025年软科全球大学排名前100,中大、川大、中南大学的排
【2评论】【6点赞】
大学
大学排名
中南大学
中国科学技术大学
一流大学建设高校
honk旅拍
2026-03-05
懂考博的小锦鲤
感谢大家的关注
作者最新文章
1
985高校2026考博报名时间延长!
2
26博士申请第二批次招生已开启!错过再等一
3
博士真的很多了吗?
4
北京大学光华管理学院2026年“申请-考核制”
5
中国传媒大学2026年博士学位研究生(文学、艺
6
博士毕业真实去向2026
7
湖南工业大学2026年公开招聘100人
8
关于哈尔滨工业大学2026年博士研究生“申请-
9
为什么很多硕士走人才引进到县城事业单位后
10
清华大学博士退学公告2026
热门分类
推荐
热榜
军事
NBA
体育
社会
明星八卦
娱乐
财经
科技
汽车
历史
国际
游戏
动漫
公益
搞笑
商业
互联网
数码
国际足球
房产
家居
时尚
科学探索
职场
育儿
股票
教育
影视
情感
热点
中国军情
武器
中国南海
中国足球
亚洲杯
科比
综合体育
CBA
投资
大咖秀
外汇
创业
风口
SUV
豪车
概念车
优惠
新能源
美国
欧洲
朝日韩
俄罗斯
孕期
街拍
婚姻
正能量
教育
TOP
1
以前的女大学生和当代的女大学生
2
表妹当班主任后一年的变化表妹当班主任后一年的变化
3
网上的大学宿舍和真实的大学宿舍,真的有这么夸张吗
4
学校有这样的语文老师,应该没有孩子会逃课了吧?[呲牙笑]
5
为啥现在大学生都喜欢这样穿呀,有人清楚不?
6
我自始至终都知道,我老公包养了两个大学生[笑着哭]一个是女大学生研三每个月给
7
这怕是中国就业率最高的专业了吧!
8
陈都灵大学那会,真是校花啊,这素颜把好多人都比下去了
9
家庭存款的十个等级:10万压力山大,20万小打小闹,30万稍感轻松,5
10
一位是腰缠万贯的董事长,一位是懵懵懂懂的女大学生。
教育
最新文章
1
《家有儿女》早就教过怎么处理校园霸凌的问题了
2
香港一学校毕业典礼上奏国歌,两名毕业生不仅不唱国歌,还一直坐着拒绝肃立,校长陈卓
3
是区,却没有大学
4
某地小学老师,这着装规范吗?
5
湖南,男生高考575分,父母一气之下将其扫地出门,并断了其生活来源,他想复读,母
6
过了春节上班第一天,公司开年会,秘书不在。老板随便喊了一名大学生员工,让他做会议
7
女孩研究生毕业,当年就考上了事业编制,那年她才25岁,一毕业就有了稳定工作,让多
8
一次,撒贝宁问李雪琴:“你北大啥专业的?”李雪琴笑答:“说不出口的专业。”撒贝宁
9
北京有一位女研究生去参加面试,面试官问道:“100个口是什么字?”女研究生回答:
10
“浙大教授”郑强,再次抛出惊人言论! 他说:“中国是人口大国、劳动力大国,人