老涛资讯网
勇哥的超级数学的文章
出的太难了!刚刚结束的武汉三调,以我连续三年参加高考的经验来看,可以说...
教育
2026-03-11 23:09
深圳一模。今天抽空做了做深圳一模,除了18和19题还没做完,其他都做了...
教育
2026-03-11 23:09
哪个才是正确的?前一段给大家展示了心形方程式,结果两个软件图像不一样...
科学探索
2026-02-22 00:31
高铁偶遇。早早起来去济南出差一趟,高铁上遇见一位粉丝,他在武汉某研究所...
情感
2026-01-20 22:59
答粉丝提问。 回复一下你的问题,平移齐次化和不平移齐次化的步骤,首先...
教育
2025-12-12 22:53
这位同行,素昧平生,毫无交集,多次无端威胁加辱骂,宜春丰城是个好地方...
教育
2025-12-07 22:56
再见母校。在离开西安前,总要回母校看一眼。打车过来,和司机聊天,司机问...
教育
2025-11-04 14:46
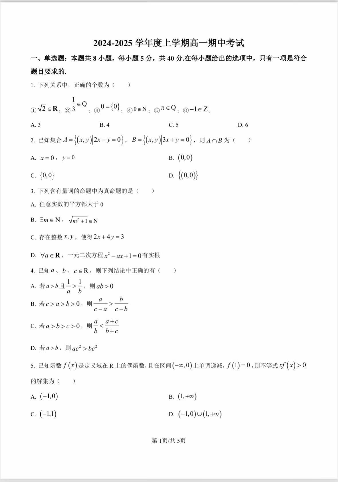
高中马上就要期中考试了,这个周末准备给高一高二学生直播讲解期中试卷,带...
教育
2025-11-01 13:25
老妈体弱,接来武汉住了一段时间,今天送回老家。老家的水稻割了,晒在门口...
2025-10-16 13:20
今天是教师节,给我曾经的老师们送去了祝福,也收获了无数家长和学生的祝福...
教育
2025-09-11 13:16
老家,是心灵的栖息地,早上被窗外的鸟和鸡笼里的鸡叫醒。一场大雨,稻田和...
2025-08-13 14:02
学生问的题,最近上课比较多,直接手写一下,不更视频,水一期。对称中心的...
教育
2025-08-11 14:01
最近每天在给高一高二高三的学生上课,没怎么更新视频。也陆陆续续的收到了...
教育
2025-07-26 20:21
高强度的暑假直播课,还有三个周。
教育
2025-07-21 20:20
2026版大招书即将面世,敬请期待。所有大招结论全部证明,而且加入部分...
教育
2025-07-08 17:54
几百年风雨,双林寺的菩萨依旧色彩斑斓,栩栩如生。我一个门外汉也能感觉到...
2025-06-28 20:17
又见平遥。来到平遥,得益于当地一位朋友的引荐,看到了好多非遗大师的作品...
2025-06-27 23:14
第一次来山西,天气比较凉爽,刀削面也很不错,晋善晋美。
2025-06-27 20:16
鱼跃龙门班学生发来的喜报,总分679分,数学132英语感觉这个分数应该...
教育
2025-06-25 23:04
收到来自山东毕业学生的信,跟着学了两年多。感谢各位学生朋友和粉丝朋友的...
教育
2025-06-17 20:16
第一页
下一页
勇哥的超级数学
感谢大家的关注
热门分类
推荐
热榜
军事
NBA
体育
社会
明星八卦
娱乐
财经
科技
汽车
历史
国际
游戏
动漫
公益
搞笑
商业
互联网
数码
国际足球
房产
家居
时尚
科学探索
职场
育儿
股票
教育
影视
情感
热点
中国军情
武器
中国南海
中国足球
亚洲杯
科比
综合体育
CBA
投资
大咖秀
外汇
创业
风口
SUV
豪车
概念车
优惠
新能源
美国
欧洲
朝日韩
俄罗斯
孕期
街拍
婚姻
正能量