老涛资讯网
孙东泽的文章
🌾云南农业职业技术学院2026上半年公开招聘(硕士)资格复审公告! 📅资格
教育
2026-05-31 07:42
🍎深圳创新高级中学2026年4月面向应届毕业生公开招聘教师综合成绩合格人员及入
教育
2026-05-31 07:42
🚨贵州省应急管理厅直属事业单位2026公开招聘面试公告! 📅面试时间:6月
社会
2026-05-31 07:42
📊四川巴中市事业单位2026公开选调工作人员报名统计(截至5月29日16:00
教育
2026-05-31 07:42
🍎广东遂溪县事业单位2026集中招聘(教育类)综合成绩及入围体检人员公告!
教育
2026-05-31 07:42
🔄长沙天心城市发展集团公开招聘2名管理人员补充公告! 原定报名截止时间延长:
社会
2026-05-31 07:42
🏭四川泸州发展控股集团及旗下企业拟录用人员名单公示! 📅公示时间:5月28
社会
2026-05-31 07:42
📄浙江象山县各级机关单位2026年度考试录用公务员拟录用人员公示(二)! ?
社会
2026-05-31 07:42
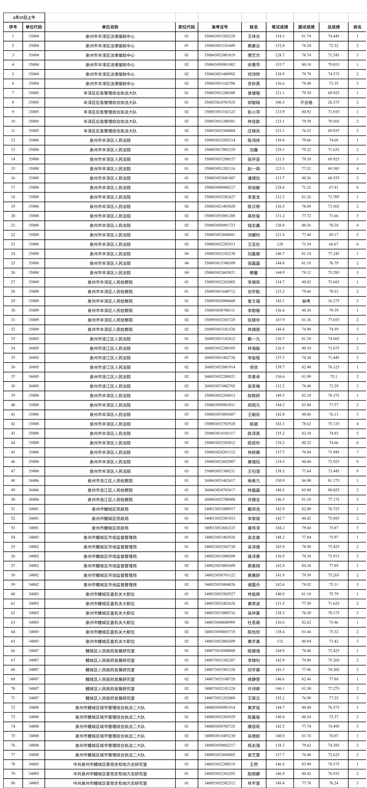
📊福建省2025年度省级机关公开遴选公务员部分单位4月12日上午面试成绩及综合
教育
2026-05-31 07:42
📄福建漳州市2025年度考试录用公务员(含参公人员)拟录用人员公示(五)!
教育
2026-05-31 07:42
🚒广东湛江经开区国家综合性消防救援队伍2025年9月退出消防员转岗安置岗位及选
社会
2026-05-31 07:42
📢海南琼海市2026用人单位拟招用公益性岗位人员名单公示(四)! 📅公示期
社会
2026-05-31 07:42
📋辽宁交通高等专科学校2026公开招聘项目短期聘任制人员技能考核结果及体检通知
教育
2026-05-31 07:42
📊重庆涪陵区江东街道2026本土人才岗位笔试成绩公示! ✅笔试成绩及排名已公
教育
2026-05-31 07:42
🔄江西泰和县康寿养老服务有限公司2026公开招聘重启报名及岗位调整! 因部分
社会
2026-05-31 07:42
⏰山西朔州市事业单位2026公开招聘面试公告(第二批)! 📅面试时间:6月6
教育
2026-05-31 07:42
🚨陕西榆林医疗编资格复审公告!6月4日-5日,别错过! 家人们!2026陕西
社会
2026-05-30 07:51
江苏海事职业技术学院招聘!笔试成绩可查!复审即将开始🎓 江苏海事职业技术学院
教育
2026-05-30 07:51
湖北嘉鱼县教招笔试成绩公布!速查!📢 嘉鱼县2026年教师招聘笔试成绩出来了
教育
2026-05-30 07:50
青岛市民政局所属事业单位(面试成绩公示 青岛民政事业单位面试成绩公布!速查分!?
社会
2026-05-30 07:50
第一页
下一页
孙东泽
感谢大家的关注
热门分类
推荐
热榜
军事
NBA
体育
社会
明星八卦
娱乐
财经
科技
汽车
历史
国际
游戏
动漫
公益
搞笑
商业
互联网
数码
国际足球
房产
家居
时尚
科学探索
职场
育儿
股票
教育
影视
情感
中国军情
武器
中国南海
中国足球
亚洲杯
科比
综合体育
CBA
投资
大咖秀
外汇
创业
风口
SUV
豪车
概念车
优惠
新能源
美国
欧洲
朝日韩
俄罗斯
孕期
街拍
婚姻
正能量