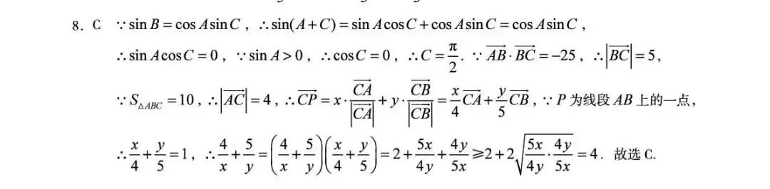
压轴小题赏析24-25A10联盟2024级高一下期中数学试卷单选第八题,多选第十

桐瑞漫说小姐姐 2026-04-23 06:11:10

压轴小题赏析24-25A10联盟2024级高一下期中数学试卷单选第八题,多选第十一题,填空第十四题,欢迎收藏使用。

0 阅读:0