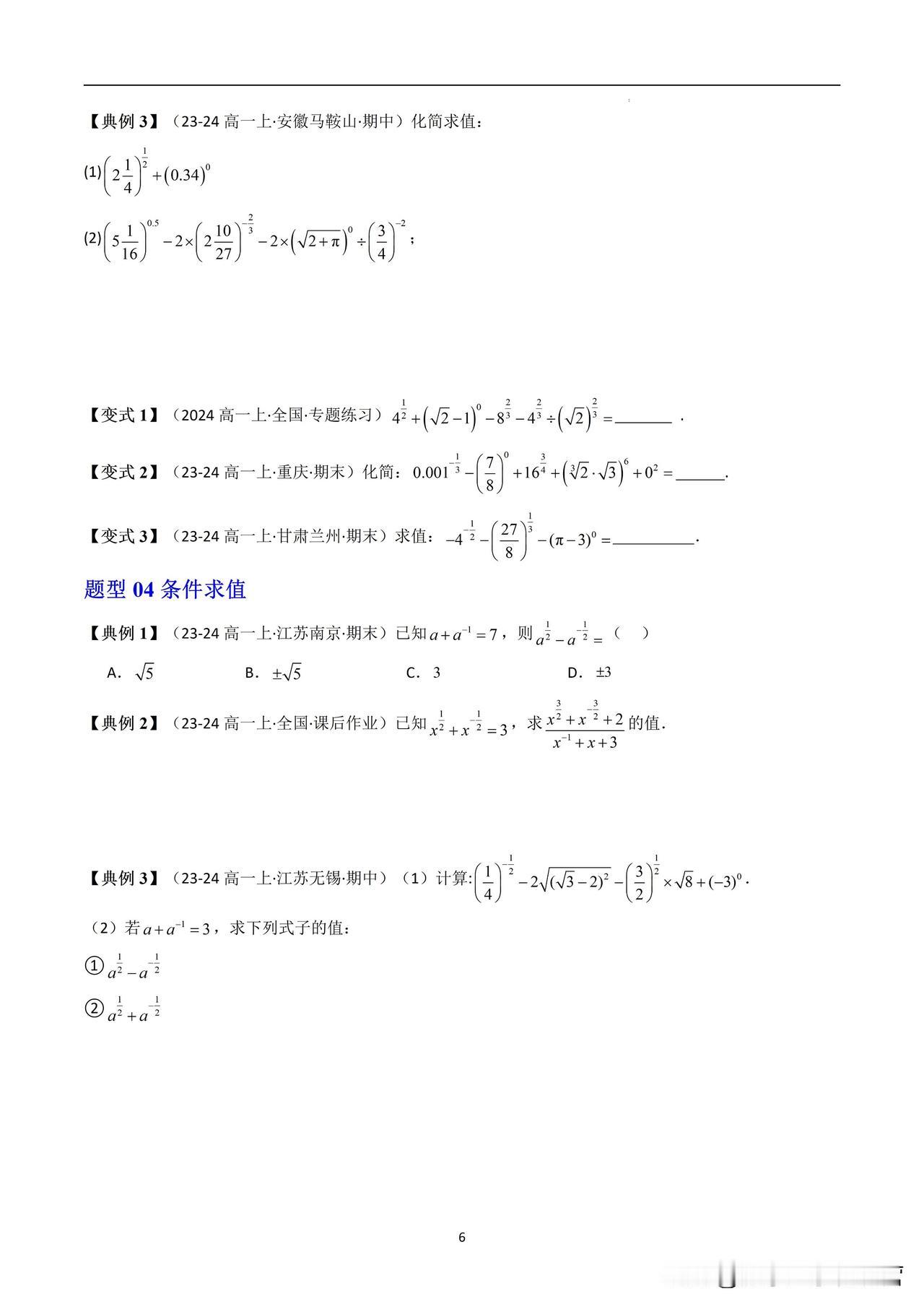
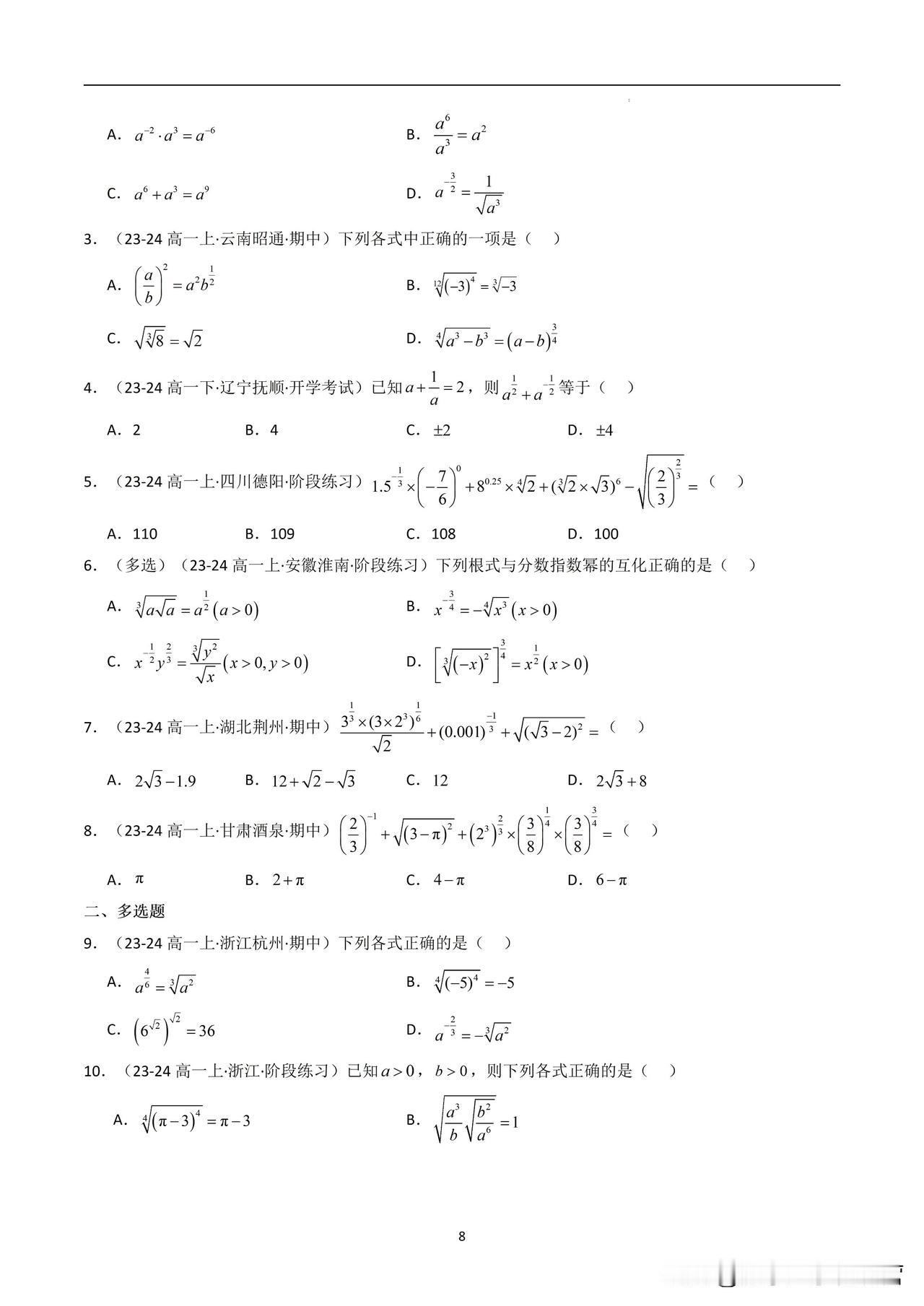
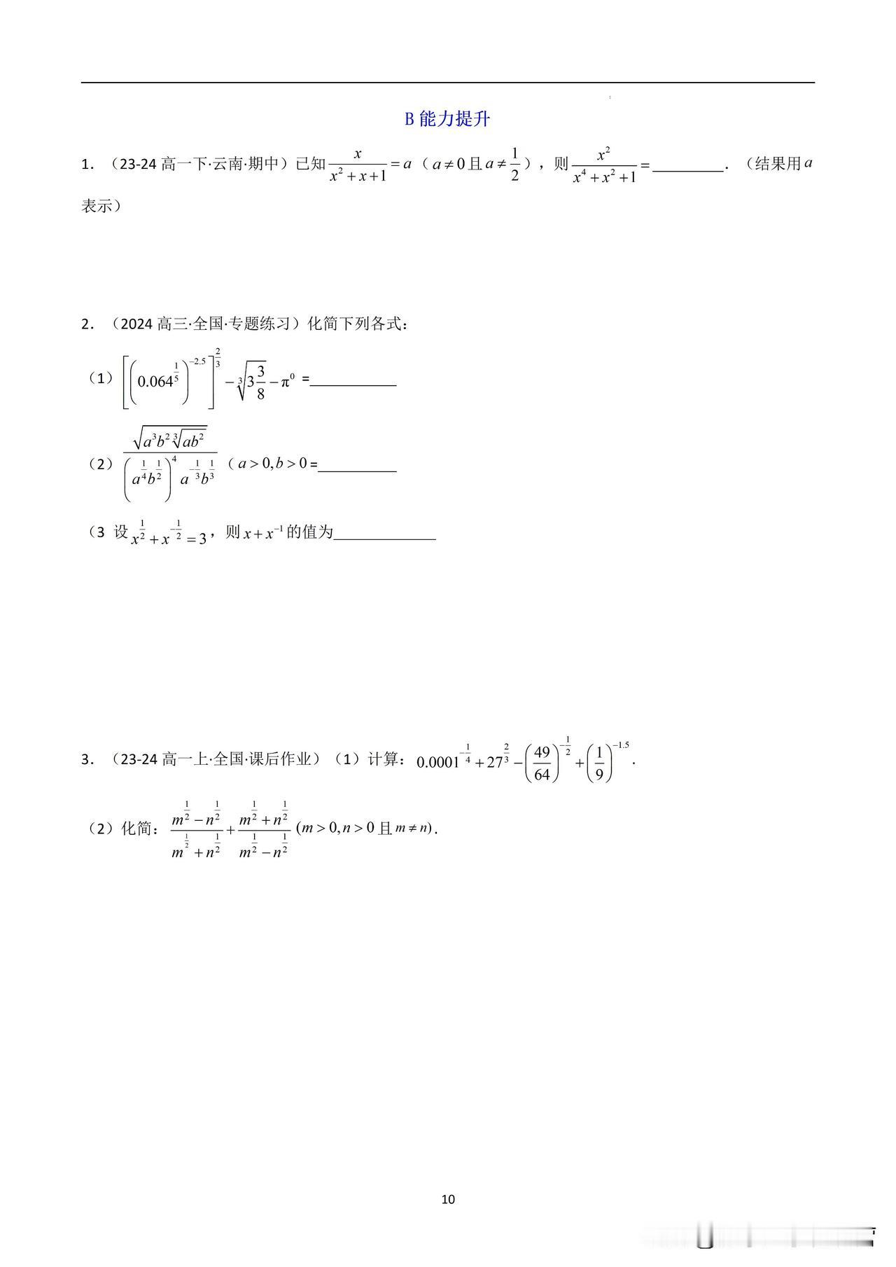
高一数学指数 ①理解根式和分数指数幂的含义, 并且能进行两者之间的互化。 ②掌握根式的性质,并能运用根式的运算性质进行根式的运算。 ③掌握实数指数幂的运算性质,学会化简较复杂的运算式子。 题型01根式的概念 题型02根式的化简(求值) 题型03分数指数幂的简单计算 题型04条件求值










高一数学指数 ①理解根式和分数指数幂的含义, 并且能进行两者之间的互化。 ②掌握根式的性质,并能运用根式的运算性质进行根式的运算。 ③掌握实数指数幂的运算性质,学会化简较复杂的运算式子。 题型01根式的概念 题型02根式的化简(求值) 题型03分数指数幂的简单计算 题型04条件求值










作者最新文章
热门分类