老涛资讯网

一枚十年数学刘国栋的文章

刘老师参与编写的2025届导与练总复习出版了

刘老师参与编写的2025届导与练总复习出版了

教育 2024-04-25 12:16

电车买不起,只能买燃油车,哪款颜色好看呢

电车买不起,只能买燃油车,哪款颜色好看呢

汽车 2024-04-24 12:38

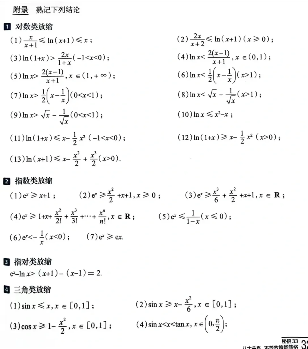
指对三角放缩

指对三角放缩

教育 2024-04-24 12:03

数学单科为王,终于来了!唯一走捷径的学科

数学单科为王,终于来了!唯一走捷径的学科

教育 2024-04-15 12:04

多三角形中的这六个定理你掌握几个?

多三角形中的这六个定理你掌握几个?

教育 2024-04-14 12:46

超几何分布最值问题掌握了吗

超几何分布最值问题掌握了吗

教育 2024-04-14 12:36

2024杭州二模虽然有道题出错了但是整体不错

2024杭州二模虽然有道题出错了但是整体不错

教育 2024-04-10 12:04

圆锥曲线非对称韦达定理这几年比较热🔥

圆锥曲线非对称韦达定理这几年比较热🔥

教育 2024-04-07 12:29

高一下学期正余弦定理第一节

高一下学期正余弦定理第一节

2024-04-06 12:26

高中生必会导数中的虚设零点(也叫隐零点

高中生必会导数中的虚设零点(也叫隐零点

教育 2024-04-05 12:06

2024东三省二模数学

2024东三省二模数学

教育 2024-04-04 12:26

高一向量模长问题

高一向量模长问题

教育 2024-03-31 12:54

导数同构例题讲解

导数同构例题讲解

教育 2024-04-03 02:00

江南十校联考个人详解

江南十校联考个人详解

教育 2024-04-02 09:33

2024年T8联考数学

2024年T8联考数学

教育 2024-04-02 09:33

江南十校联考19题导数

江南十校联考19题导数

2024-04-02 09:33

导数同构第一讲

导数同构第一讲

教育 2024-04-02 09:33

超市累的实在干不动了,出兑了

超市累的实在干不动了,出兑了

房产 2024-03-29 02:14

平面向量基本定理及三点共线的应用

平面向量基本定理及三点共线的应用

2024-03-29 01:03

导数中隐零点问题

导数中隐零点问题

教育 2024-03-29 02:49
第一页 下一页
一枚十年数学刘国栋

一枚十年数学刘国栋

感谢大家的关注

热门分类

推荐 热榜 军事 NBA 体育 社会 明星八卦 娱乐 财经 科技 汽车 历史 国际 游戏 动漫 公益 搞笑 商业 互联网 数码 国际足球 房产 家居 时尚 科学探索 职场 育儿 股票 教育 影视 情感 热点 中国军情 武器 中国南海 中国足球 亚洲杯 科比 综合体育 CBA 投资 大咖秀 外汇 创业 风口 SUV 豪车 概念车 优惠 新能源 美国 欧洲 朝日韩 俄罗斯 孕期 街拍 婚姻 正能量

© CopyRight 2010-2026 老涛资讯网(laotaotie.com)

粤ICP备2023027345号 邮箱:181046773#qq.com

声明:部分文章摘自互联网,如有侵权,麻烦告知删除。