“疫苗导致自闭症”这个“观点并非由安德鲁·韦克菲尔德在1998年发明”。
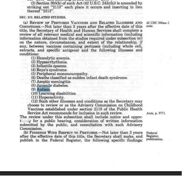
早在1986年,十多年前,由于广泛的家长声称百日咳疫苗(出生后6个月内注射3次)导致了他们孩子的自闭症,美国国会要求卫生与公众服务部(HHS,作为1986年《国家儿童疫苗伤害法》的一部分)审查百日咳疫苗与自闭症之间关系的程度。事实上,自闭症是它要求HHS审查的仅有的11种状况之一。请参阅下面1986年法案的原文。*
顺便说一句,最近,医学研究所(IOM)只能确定一项评估百日咳疫苗是否与自闭症相关的研究所得出的结论是存在关系,但IOM否决了这项研究,因为它“缺乏未接种疫苗的对照人群”。**
*网页链接 第37页**
The "idea vaccines cause autism" was not "invented by Andrew Wakefield in 1998."
In 1986, over a decade prior, due to widespread parental claims that pertussis vaccine (injected 3x in the first 6 months of life) caused their child’s autism, Congress required HHS (as part of the National Childhood Vaccine Injury Act of 1986) to review the extent of the relationship between pertussis-containing vaccines and autism. In fact, autism was one of only 11 conditions it asked HHS to review. See the original text from the 1986 Act below.*
Btw, more recently, the Institute of Medicine (IOM) could only identify one study that assessed whether pertussis-containing vaccines are related to autism, and that study found there was a relationship, but the IOM threw out the study because it "lacked an unvaccinated comparison population."**
*网页链接 at p. 37**网页链接
