老涛资讯网
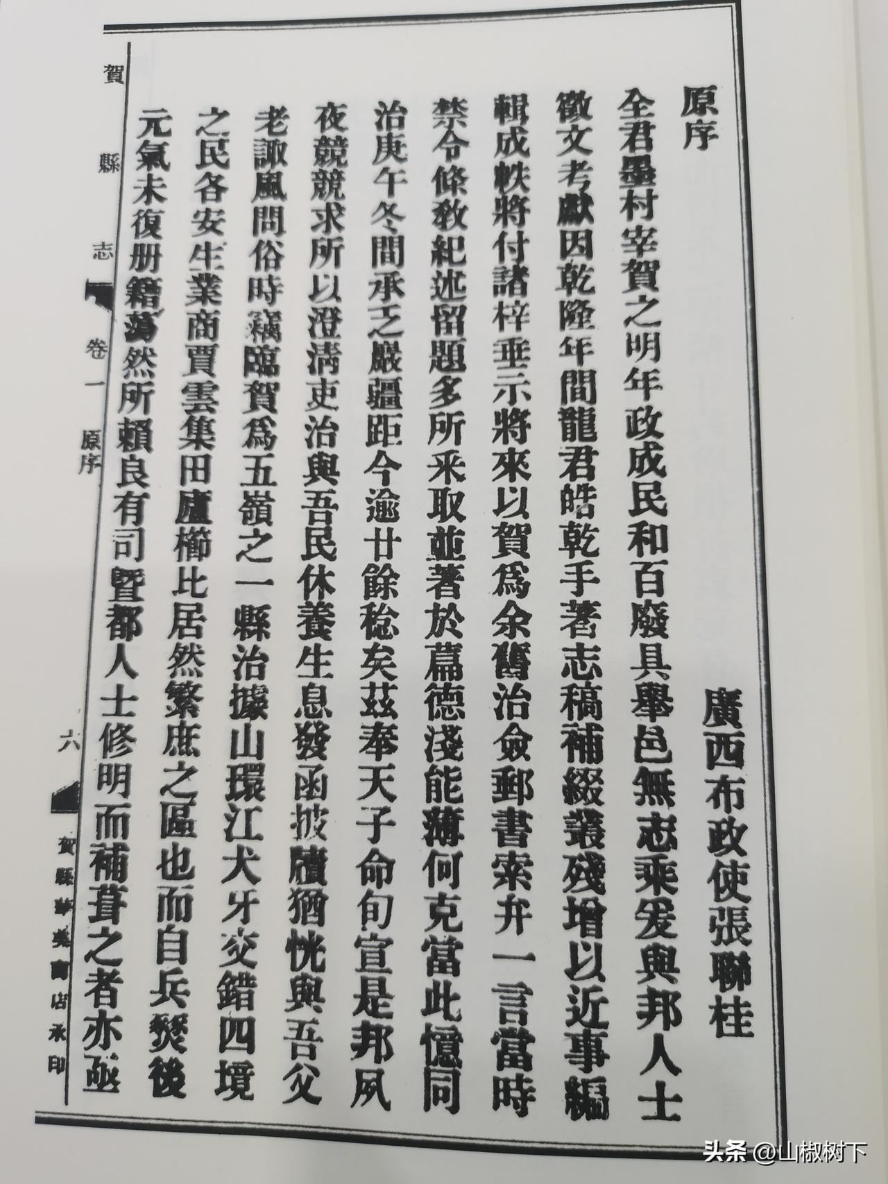
长这么大还是第一次看本地方县志,很多繁体字都不认识,基本靠蒙,原来贺州还有这么悠
山胶树下
2026-03-22 14:03:14
长这么大还是第一次看本地方县志,很多繁体字都不认识,基本靠蒙,原来贺州还有这么悠久的历史[笑哭][笑哭] 广西
0
阅读:0
山胶树下
感谢大家的关注
作者最新文章
1
这是陈建斌,我也胖了,我们俩住上下铺,住了将近4年。他住上铺,我住上铺,所以他给
2
长这么大还是第一次看本地方县志,很多繁体字都不认识,基本靠蒙,原来贺州还有这么悠
3
天爷啊,这是什么鬼热闹,《知否》里的桓王要和桂芬直播连线了,他俩一个是顾廷烨的好
4
停播了一个半月,李亚鹏终于宣布要开播啦,3月18日,李亚鹏发视频称会在3月20号
5
这下好了,经过315曝光后,全国都知道美宜佳卖假烟了,全国4万多家店,暗访10家
6
有没有人觉得贺州的房租很贵,这几天陪朋友租房子,基本上贺州市区跑了个遍,便宜的基
7
我要吐槽一下58同城上的租房业务,这几天陪朋友去租房,因为不想走街串巷的去找房子
8
幸好我不喜欢吃毛肚,网红“鹿哈”凌达乐带货的膳小丫贡菜千层肚被曝加工环境恶劣,工
9
爱吃鸡爪的天塌了,乖媳妇泡椒凤爪有多少人吃过,没想到今年315第一个曝光的居然是
10
这男的简直是渣男中的战斗机,河南郑州一男子跟老婆结婚11年,孩子都生3个了,然后
热门分类
推荐
热榜
军事
NBA
体育
社会
明星八卦
娱乐
财经
科技
汽车
历史
国际
游戏
动漫
公益
搞笑
商业
互联网
数码
国际足球
房产
家居
时尚
科学探索
职场
育儿
股票
教育
影视
情感
热点
中国军情
武器
中国南海
中国足球
亚洲杯
科比
综合体育
CBA
投资
大咖秀
外汇
创业
风口
SUV
豪车
概念车
优惠
新能源
美国
欧洲
朝日韩
俄罗斯
孕期
街拍
婚姻
正能量
社会
TOP
1
#广西警方通报钦州命案4死1伤#【#广西警方通报男子行凶致4死1伤#】3月12日
2
【#面馆老板拍清纯男大学生吃面爆火#,两当事人:感谢网友喜欢,欢迎来品尝美食】#
3
【广东多地周六有中雨或大雨!大部市县周日可见阳光,早晚有雾】3月20日迎来春分节
4
#绘制梅姨画像七年终于松口气#3月21日,参与绘制“梅姨”模拟画像的专家林宇辉告
5
#官方辟谣梅姨在三元里落网#【“‘梅姨’在广州三元里落网”为不实信息!相关部门辟
6
【#央视曝光成人增高骗局疯狂牟利##315晚会起底荒诞的成人增高#】#315晚会
7
#梅姨落网申军良追了近十年#【#申军良称张维平5天拐2孩子给梅姨#】3月21日
8
#湖南129岁老夫妻相恋100年引质疑#【#官方回应129岁老夫妻相恋100年#
9
#8公里收费188深圳黑车司机被拘#【8公里收188元车费,深圳一“黑车”司机被
10
#贾鲁河源头从火爆到凉凉仅3个月#【#多方回应贾鲁河源头热度消退#:正常,非正式
社会
最新文章
1
#我国杂交稻又有新突破了#【我国一系法杂交稻单产实现超亲本杂交稻水平】记者22日
2
谁说不敢看樱花了?看媒体报道,看樱花的游客很多。如澎湃新闻报道,武汉市文旅局3月
3
#广州超400人涉电鸡违法被查#【超四百人因非法改装、用假牌被查处!广州严打电动
4
【广州下周天气以多云为主,早晚有轻雾!最高温或至30℃左右】3月22日,南都N视
5
#官方辟谣梅姨在三元里落网#【“‘梅姨’在广州三元里落网”为不实信息!相关部门辟
6
#杨妞花代理律师称梅姨或判最高刑罚#【#梅姨案涉9起拐卖追诉期没问题#】3月21
7
#广东男子南太行失联已超10天#【29岁广东男子南太行失联数天续:救援人员潜入瀑
8
#杨妞花说梅姨曾被认为虚拟人物#【#梅姨落网多个被拐家庭发声回应#】3月21日,
9
【#2025年考驾照人数创10年新低#】#这届年轻人不急着考驾照了#“每天一睁
10
#绘制梅姨画像七年终于松口气#3月21日,参与绘制“梅姨”模拟画像的专家林宇辉告