老涛资讯网

山东省威海市2023级2025年2月8号2026届高三年级上学期一模验收考试数学

桐瑞漫说小姐姐 2026-02-11 11:33:10

山东省威海市2023级2025年2月8号2026届高三年级上学期一模验收考试数学试题及其答案,欢迎使用。

0 阅读:0

猜你喜欢

深圳市福田区七年级数学期末试卷,一套比较友善的试卷。数学初中数学教育万唯中

深圳市福田区七年级数学期末试卷,一套比较友善的试卷。数学初中数学教育万唯中

【6点赞】

深圳市 初中数学 中小学
途虫的百味人生 2026-01-23

“你这数学是体育老师教的么”[吃瓜][吃瓜]

“你这数学是体育老师教的么”[吃瓜][吃瓜]

【1评论】

数学
紫羽星 2026-02-11

考试中一静一动

考试中一静一动

律师
高校少女唐秋香 2026-02-06

【琅河财经】最近,中国教育界的神话:衡水中学,神话破灭了!网上流传的数据说,

【琅河财经】最近,中国教育界的神话:衡水中学,神话破灭了!网上流传的数据说,

【3评论】

衡水中学 中学
小辰财经 2026-02-06

1450能不能找点数学好的人来写文案?

1450能不能找点数学好的人来写文案?

【16评论】【4点赞】

数学
王虎的舰桥 2026-02-08

在学校里看到新生觉得他们好新

在学校里看到新生觉得他们好新

宿舍 新生 军训
擅长治愈人类 2026-02-07

大学生寒假工有的是力气和手段🤣👌

大学生寒假工有的是力气和手段🤣👌

【1点赞】

大学生 大学 就业
老王大话 2026-02-10
桐瑞漫说小姐姐

桐瑞漫说小姐姐

感谢大家的关注

作者最新文章

1
我看到这样一副图片,上面的内容让我震撼。
2
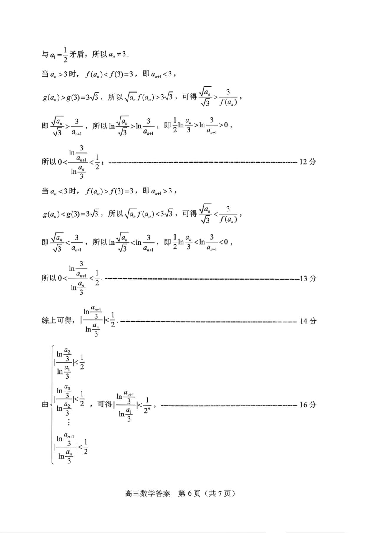
山东省威海市2023级2025年2月8号2026届高三年级上学期一模验收考试数学
3
美女闲着了,晒晒太阳更健康。
4
这男的好有福气啊,相亲对象是个美女,要抓住机会啊。
5
美女的美丽体现在何处呢?健身的美女肌肉多,动作优美,巾帼不让须眉,单杠玩的偷溜。
6
伴娘太漂亮,新郎官抱着不撒手,有点喧宾夺主。
7
歌曲《没能在最好的年纪遇见你》唱唱出了多少男人的心声。
8
歌曲 《没在最好的年纪遇见你》 歌词 三生有幸遇见你 即使悲凉也是情 遗憾你已
9
友友们,早上好!
10
这是什么情况,看上身穿戴是冬天,看下身是夏天,这人不是脑子有问题,就是为了流量拼

热门分类

推荐 热榜 军事 NBA 体育 社会 明星八卦 娱乐 财经 科技 汽车 历史 国际 游戏 动漫 公益 搞笑 商业 互联网 数码 国际足球 房产 家居 时尚 科学探索 职场 育儿 股票 教育 影视 情感 热点 中国军情 武器 中国南海 中国足球 亚洲杯 科比 综合体育 CBA 投资 大咖秀 外汇 创业 风口 SUV 豪车 概念车 优惠 新能源 美国 欧洲 朝日韩 俄罗斯 孕期 街拍 婚姻 正能量

© CopyRight 2010-2026 老涛资讯网(laotaotie.com)

粤ICP备2023027345号 邮箱:181046773#qq.com

声明:部分文章摘自互联网,如有侵权,麻烦告知删除。