老涛资讯网
专题——不动点求数列通项公式
弄了与数学
2025-12-19 00:20:32
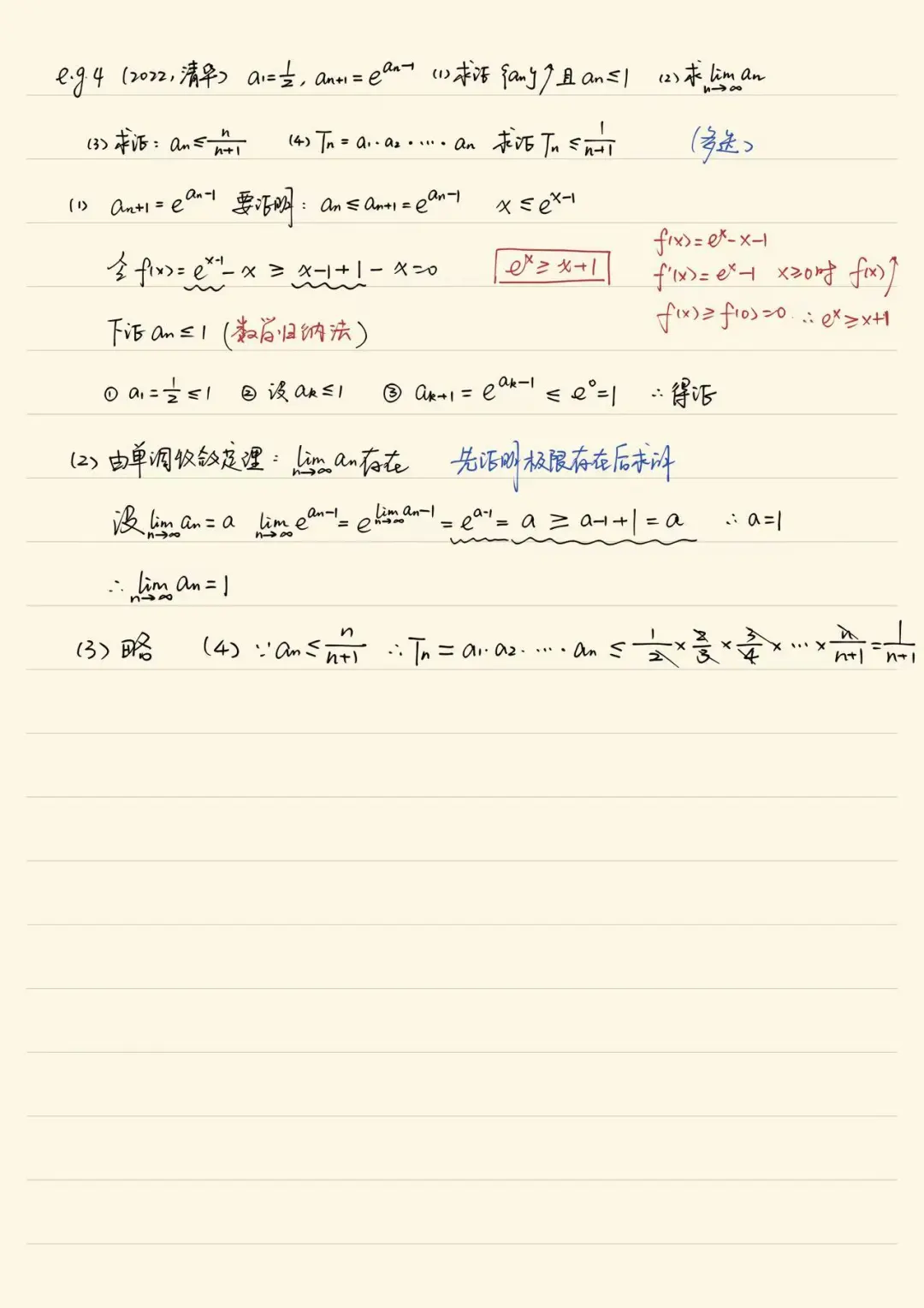
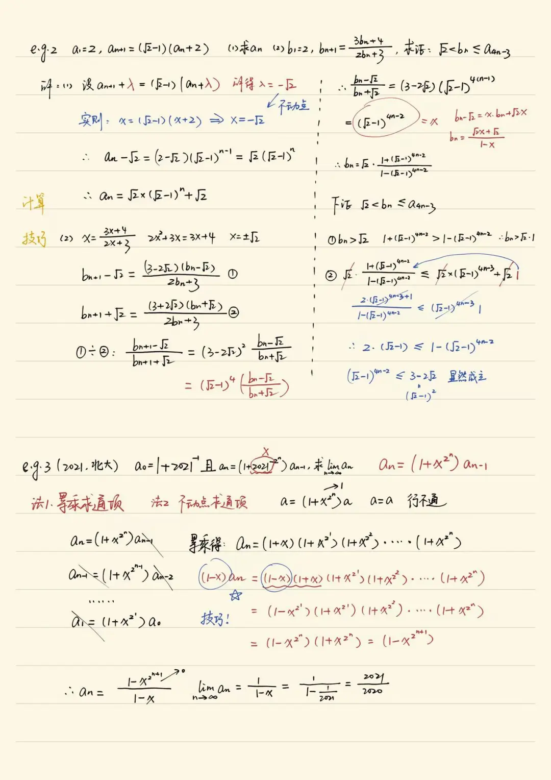
这个内容打算放到数学强基培优的课堂讲,自己也是初学者。 不动点对求数列的极限和求分式线性递推的通项有帮助,可以浅浅学习一下。
0
阅读:3
弄了与数学
感谢大家的关注
作者最新文章
1
5.2.3 简单复合函数的导数&专题 切线方程
2
专题——裂项与放缩
3
一口气上5个课时内容,导数一开始真的很简单
4
彩色笔记上新,专题——数列的放缩
5
专题——不动点求数列通项公式
6
简简单单又是一餐——自制老干妈牛排🥩
7
快来学习!专题——数列求和的方法
8
专题:求数列的通项公式,看这篇笔记就够了!
9
还是这样舒服!等差数列的前n项和的性质
10
圆锥曲线解题新思路——二次曲线系方程的应用
热门分类
推荐
热榜
军事
NBA
体育
社会
明星八卦
娱乐
财经
科技
汽车
历史
国际
游戏
动漫
公益
搞笑
商业
互联网
数码
国际足球
房产
家居
时尚
科学探索
职场
育儿
股票
教育
影视
情感
热点
中国军情
武器
中国南海
中国足球
亚洲杯
科比
综合体育
CBA
投资
大咖秀
外汇
创业
风口
SUV
豪车
概念车
优惠
新能源
美国
欧洲
朝日韩
俄罗斯
孕期
街拍
婚姻
正能量
教育
TOP
1
现在的大学老师都这么的漂亮啊?
2
这样演高中生是不是有点过分了
3
原来老师也怕老师😂
4
现在的大学生都喜欢这样穿的吗?冬天真的不怕冷
5
会当凌绝顶,一览众山小[比心][比心]
6
现在的女大学生还是太权威了[点赞]
7
作为大学,在上课时穿得这么暴露,难道老师不管吗?
8
内娱是没人了嘛?这都能来演高中生?
9
越南表妹阿香一天比一天漂亮05年在校大学生河内国际学院2026年6
10
在读硕士的杨春燕,在教室上课时被警方带走。老师一脸惊讶地说:“是不是抓错人了?”
教育
最新文章
1
最能生娃省份排名来了广东是真猛啊,好像已经蝉联好几年第一了吧!不愧是人口大省
2
我发现当过老师的人,特别是当过小学教师的人,他们都有两个明显特征:小区里常
3
分享一个真实的教学案例高一期末考试成绩:语文:95分,数学:131分,英语:
4
重要通知应征入伍
5
最牛逼中学?必须是人大附中。衡水中学也能排在第一档,但是是在5名开外的。人
6
上中学的时侯,有一次回家,看见同班的一个女同学在被小混混调戏。在绿化带上拉拉扯扯
7
这种品行怎么当老师,赶紧清出教师队伍吧!铜川高新实验学校一年级一名音乐教师
8
福建18岁考生拒绝保送清华,校长骂他:“你太狂妄了!”后来到了高考冲刺前100天
9
天塌了啊,导师的电脑里。
10
大学同学群,整整两个小时,死一样的安静。就因为班长发了条消息,说有个同学车祸走