老涛资讯网
快来学习!专题——数列求和的方法
弄了与数学
2025-12-19 00:09:20
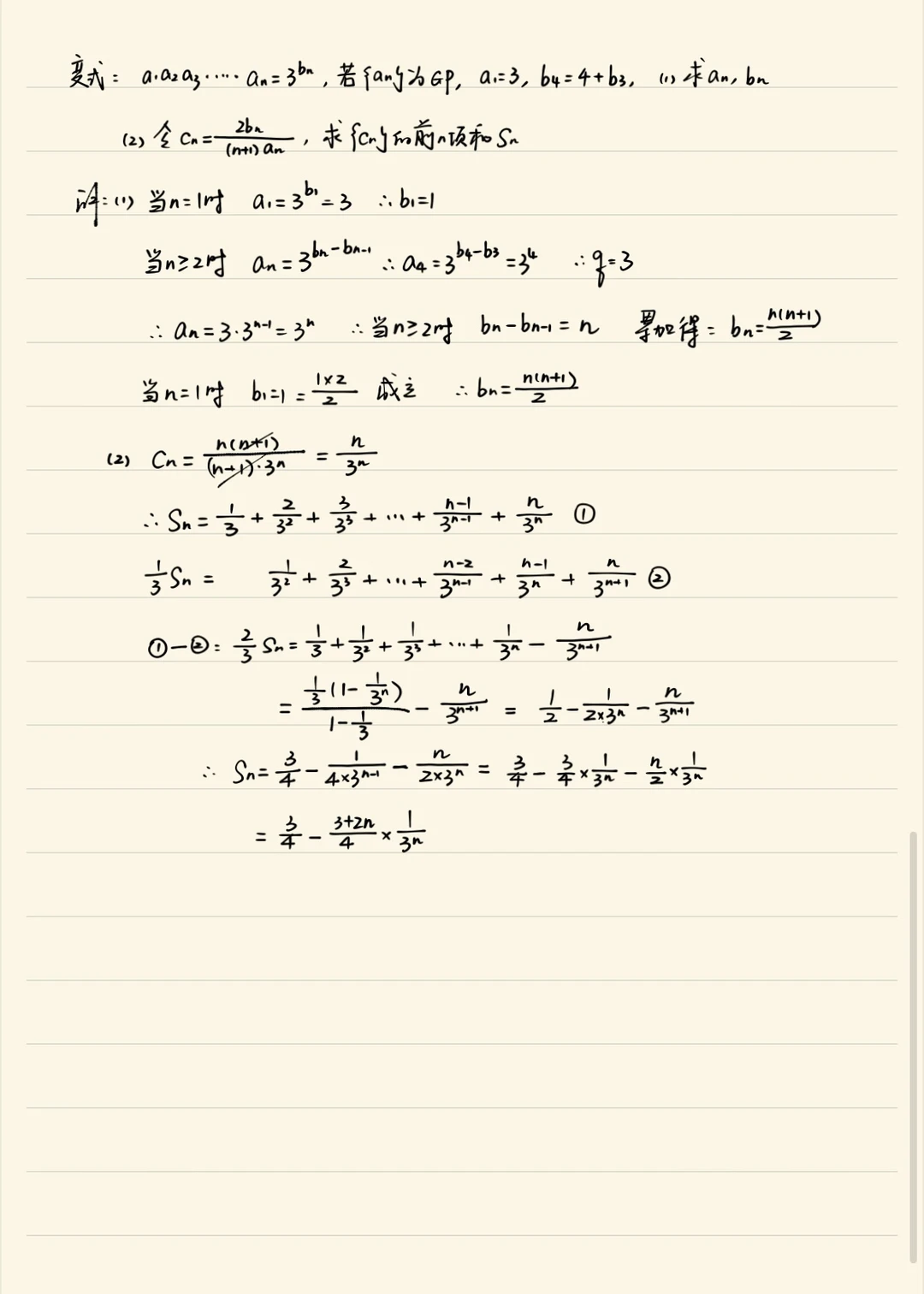
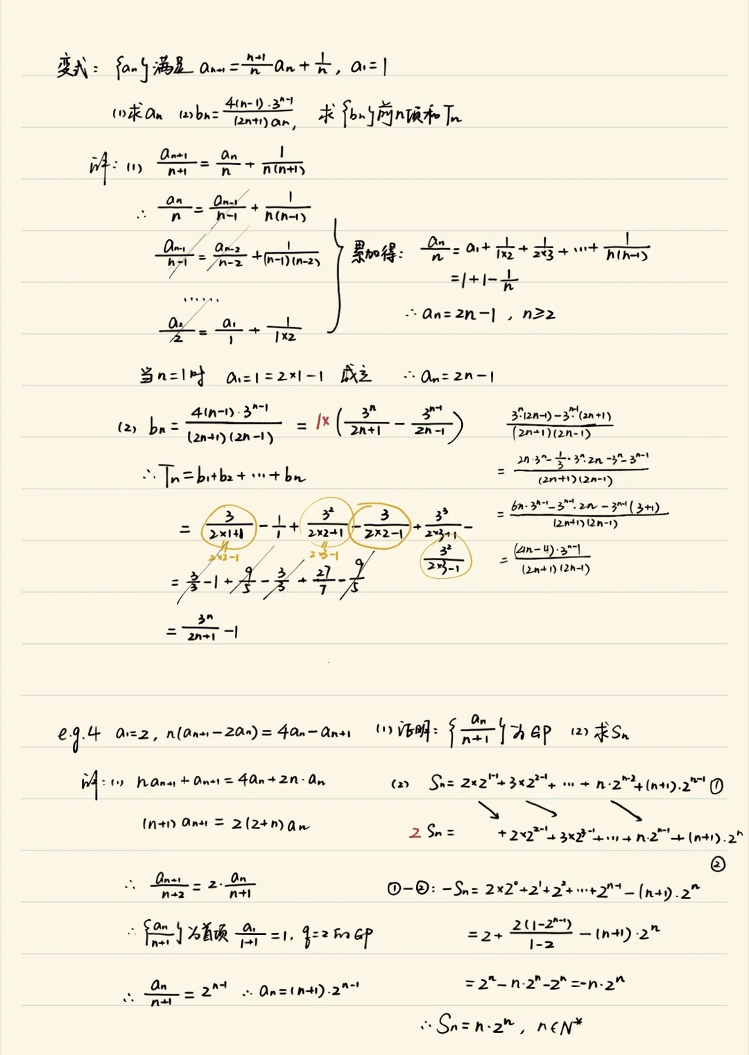
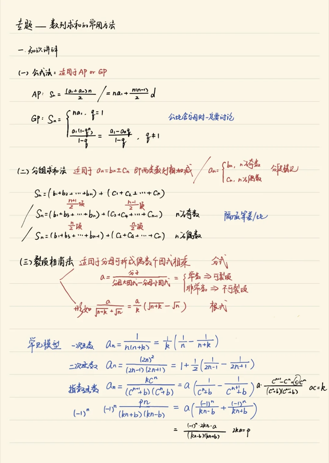
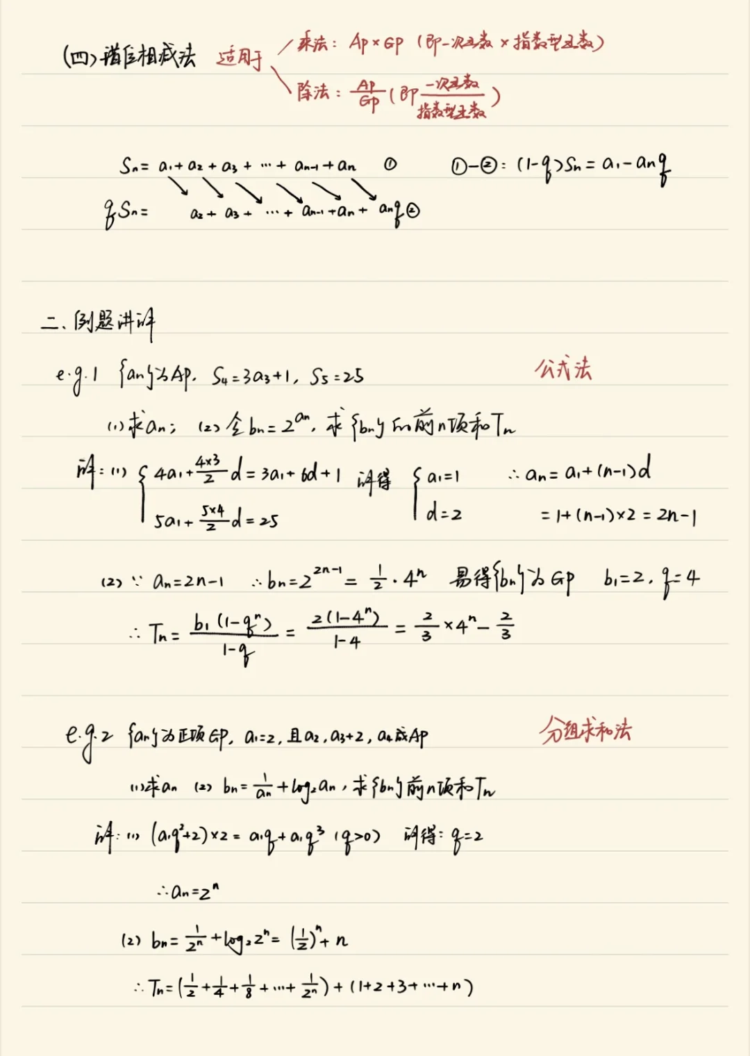
抽空总结了数列求和的4种方法,比较常见,准备上课讲,公式法、分组求和法、裂项相消法和错位相减法,其实还有倒序求和法、并项求和法等等~ 之后再完善,目前新课还停留在等比数列前n项和的性质,估计数列这里还要讲一周的样子,下周能开始导数的学习~
0
阅读:0
弄了与数学
感谢大家的关注
作者最新文章
1
教案记录——专题:导数中的隐零点问题
2
搞定含参函数单调性的讨论,看懂这篇就够啦
3
专题——函数单调性的综合问题
4
补作业!教案记录——5.3.1 函数的单调性
5
培优专题——导数不等式放缩
6
分享干货|培优专题——无穷大、无穷小 ∞
7
太治愈啦,成都绝美日落🌇
8
整理一遍后感觉自己升华了!导数不等式放缩~
9
一次性更新两节 5.3 函数的极值和最值
10
含参函数单调性的分类讨论
热门分类
推荐
热榜
军事
NBA
体育
社会
明星八卦
娱乐
财经
科技
汽车
历史
国际
游戏
动漫
公益
搞笑
商业
互联网
数码
国际足球
房产
家居
时尚
科学探索
职场
育儿
股票
教育
影视
情感
热点
中国军情
武器
中国南海
中国足球
亚洲杯
科比
综合体育
CBA
投资
大咖秀
外汇
创业
风口
SUV
豪车
概念车
优惠
新能源
美国
欧洲
朝日韩
俄罗斯
孕期
街拍
婚姻
正能量
教育
TOP
1
大学时期的迪丽热巴,这种在新疆不是很普通吗。
2
高考考多少分。才能和她一样
3
湖南这个28岁的中专女老师,姓徐。人长得挺周正,还是体制内的,原本前途一片大
4
为啥现在大学生都喜欢这样穿呀,有人清楚不?
5
我自始至终都知道,我老公包养了两个大学生[笑着哭]一个是女大学生研三每个月给
6
只有大学生才懂这个上铺的含金量
7
为什么英语老师都这么时尚??
8
41岁张雪峰猝然离世,背后的人生与担当值得细品张雪峰去世,给200名员工提前
9
学校门口这一角,看得人五味杂陈。现在的学生都怎么了?
10
一手好牌打得稀烂:女教师徐某,你糊涂啊!28岁,长得漂亮,工作稳定,在湖南一所中
教育
最新文章
1
终于明白高中班主任说的那句:“十七八岁的女孩子不用化妆,怎样都是漂亮的。”
2
张雪峰老婆才35岁,那么年轻就丧夫以后咋活?
3
张雪峰曾说:“如果孩子不想读书,你就带他去四个地方,第一是汽车客运站,第二是火车
4
老师上课收到的纸条有多炸裂
5
这位老师的课,你会逃课吗?
6
#高三学生为备考请求拆除鸟巢##校长回应高三学生拆鸟巢请求#近日,深圳宝安中学(
7
深圳高三学子投诉校园鸟鸣噪音,要求拆除鸟巢。校长千字长文回应,做了一场关于生命教
8
扒了扒张雪峰的助理万霞,不扒不知道,一扒直接破防,真的万万没想到,她居然是最早跟
9
张雪峰郑州大学03级毕业照,穿格子衫、站姿随性的正是张雪峰。他玩世不恭的样子一眼
10
41岁的张雪峰走了,再看他年轻时的模样,才懂这些年他有多拼