老涛资讯网
短发校园学姐
拖带娱乐
2025-11-24 17:10:40
短发校园学姐
0
阅读:0
猜你喜欢
作为一名教研员,我感觉许多名师都有点哗众取宠、华而不实。今天,我听了一节小学六
【1评论】【1点赞】
语文
教育生态
2026-01-11
泪目!武汉,武汉大学里一位历史系副教授多年评不上教授,课却越讲越火,走廊里挤人,
武汉大学
大学
半颗&咖啡🌻
2026-01-13
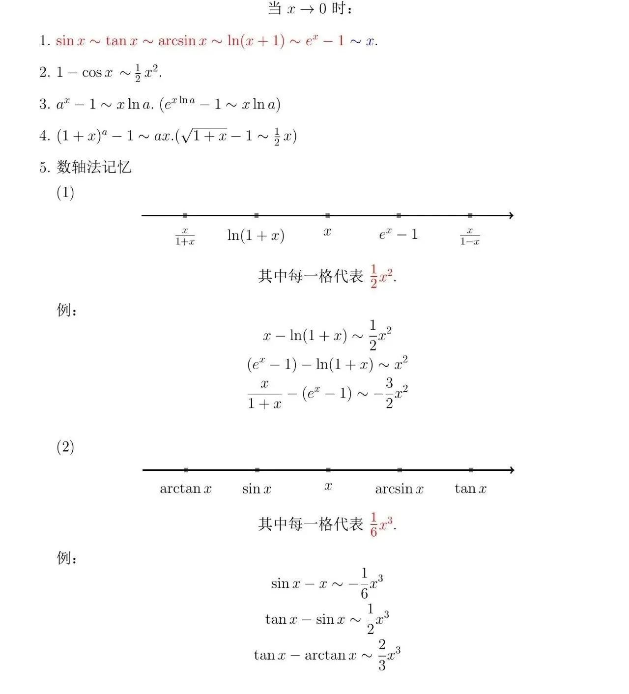
高等数学常用的等价无穷小公式
数学
小升初
石破天惊
2026-01-13
我跟教语文的朋友说,闫学晶的道歉信写得可真有水平啊!没想到她白了我一眼,说
【11评论】【2点赞】
语文
一只猫
2026-01-11
江苏,12岁女孩,因为不会写英语单词,被老师叫到办公室,她回家之后,看着那些英语
【2评论】【3点赞】
英语
江苏省
民法典
老师
一案一论
2026-01-11
现在学校进入了一个怪圈,就是教师听校长的,校长听家长的。上一周,一名家长认为孩
教师
公开课
教育生态
2026-01-13
近日,闫学晶之子林傲霏的中戏入学争议引发热议,核心焦点其实是大众对高考公平的重视
高考
中央戏剧学院
可乐
2026-01-11
汇总我国各行业内的顶尖特色院校,如河海大学(水利)、华北电力大学(电力)等,被称
【1点赞】
河海大学
华北电力大学
景德镇陶瓷大学
吉林财经大学
饮者流明
2026-01-12
拖带娱乐
感谢大家的关注
作者最新文章
1
迪丽热巴关注陈星旭陈星旭关注迪丽热巴迪丽热巴陈星旭互相关注
2
迪丽热巴陈星旭互相关注迪丽热巴陈星旭才互关迪丽热巴陈星旭互相关注
3
迪丽热巴陈星旭互关迪丽热巴陈星旭互关了迪丽热巴陈星旭互关了
4
VOGUE年度最佳着装票选第一赵露思VOGUE年度最佳日常穿搭女明星 赵露思~
5
蔡徐坤年度最佳红毯着装男明星蔡徐坤富有实验精神穿衣艺术家蔡徐坤vogue年度最佳
6
穆祉丞睡衣随拍穆祉丞在看米小圈上学记 穆祉丞睡衣随拍来啦
7
穆祉丞居家服穆祉丞居家四宫格 穿着居家服软fufu的恩恩
8
丁程鑫个人简介丁程鑫记住了要开心 丁程鑫个人简介🈶:记住了要开心
9
迪丽热巴VOGUE年度最佳着装毋庸置疑迪丽热巴VOGUE年度最佳红毯着装女明星
10
贺峻霖贺峻霖不相信有人比我帅贺峻霖我不相信有人比我帅 楼抖一绝对超级帅
热门分类
推荐
热榜
军事
NBA
体育
社会
明星八卦
娱乐
财经
科技
汽车
历史
国际
游戏
动漫
公益
搞笑
商业
互联网
数码
国际足球
房产
家居
时尚
科学探索
职场
育儿
股票
教育
影视
情感
热点
中国军情
武器
中国南海
中国足球
亚洲杯
科比
综合体育
CBA
投资
大咖秀
外汇
创业
风口
SUV
豪车
概念车
优惠
新能源
美国
欧洲
朝日韩
俄罗斯
孕期
街拍
婚姻
正能量
娱乐
TOP
1
秦岚这一幕演的很真实啊,坐在椅子上很困的时候,大部分人都会做这样的动作吧
2
女明星们“陪酒”吃饭都要素颜的吗
3
奚梦瑶照片一般但是真人巨美
4
现实里刘强东老婆长这样
5
张柏芝那么漂亮那么真诚岁月不败美人,美人美在皮媚在骨,港风一绝啊。张柏芝
6
萧敬腾很有分寸感,贾静雯闺女梧桐妹这一脸叛逆的模样
7
17岁的刘诗诗,真的有人从小美到大。
8
看到高圆圆突然我就释怀了
9
看了宋喆直播,才发现王宝强真的太狠了。就在昨晚,为了赚钱宋喆直播卖新疆大枣,
10
黄晓明到底怎么想的…..我实在搞不明白
娱乐
最新文章
1
原来电视剧中的洗澡戏是这么拍的,穿肉色打底
2
灰色毛衣掠过镁光灯的瞬间。评论区炸了。不是蕾丝不是薄纱。就是最普通的那种灰
3
不愧是刘亦菲唯一公开承认的男朋友,宋承宪的魅力确实是很大的!!
4
阿信和F3的演唱会上,阿信又摔倒了,不是舞台的原因,也不是灯光的原因,而
5
22秒吻戏,播放量飙到5000万。弹幕都在刷,像真在谈恋爱。剧组下了狠手。
6
看了宋喆直播,才发现王宝强真的太狠了。就在昨晚,为了赚钱宋喆直播卖新疆大枣,
7
Lisa穿件黑裙子,把金球奖给震了!2026年1月12日,北京时间的凌晨,很
8
冠军没火,亚军炸了!说的就是刚结束的2025洲际小姐大中华区决赛,29号选
9
看到这第三只眼,猛一看被吓到了。蔡依林的演唱会,被网友认为是西方宗教仪式,且认
10
姜文用麻将牌挡住她胸口,审查官秒过,观众记了14年。那5秒镜头剪成三段送审。