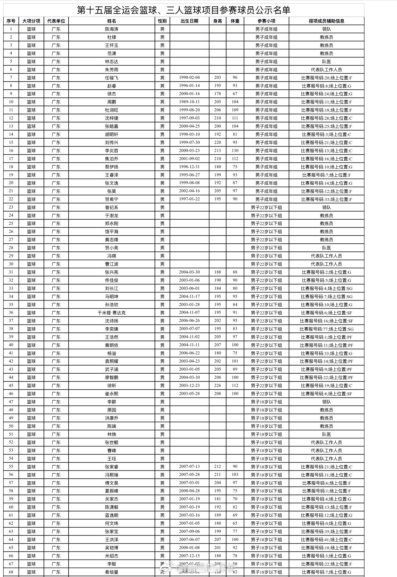
中国篮协官网公示全运会 东道主参赛名单,广东男篮方面名单豪华,成年组包括任骏飞、赵睿、徐杰、周鹏、杜润旺、沈梓捷、张皓嘉、胡明轩、刘传兴、李炎哲、焦泊乔、黎伊扬、王睿泽、张文逸、张昊、贺希宁。领队、教练组、工作人员均出自广东宏远俱乐部。
杜锋瞒天过海!今天下午,广东男篮公布全运会大名单,除了徐杰、胡明轩、赵睿外,张
【7评论】【28点赞】
中国篮协官网公示全运会 东道主参赛名单,广东男篮方面名单豪华,成年组包括任骏飞、赵睿、徐杰、周鹏、杜润旺、沈梓捷、张皓嘉、胡明轩、刘传兴、李炎哲、焦泊乔、黎伊扬、王睿泽、张文逸、张昊、贺希宁。领队、教练组、工作人员均出自广东宏远俱乐部。
猜你喜欢
【7评论】【28点赞】
【3评论】【4点赞】
【1评论】【2点赞】
【3评论】【8点赞】
【2评论】【1点赞】
【7评论】【7点赞】
作者最新文章
热门分类
体育TOP
体育最新文章